Démonstration de la logique OMA
Renseignez quelques paramètres de votre produit pharmaceutique afin de visualiser instantanément son éligibilité à l’automatisation OMA.
Les résultats sont basés sur une logique simplifiée à des fins de démonstration, appliqués à la CERP d'Annecy.
Avec des canaux de 800 mm, 1200 mm et 2500 mm.

OMA - Outil d’aide à la Mutation Automate
Application desktop développée pour la CERP d’Annecy**, destinée à la gestion et à l’optimisation des produits pharmaceutiques dans leur automate logistique.
Logiciel de gestion des produits pharmaceutiques

- C# Winforms et SQL Server
- Import CSV et calcul automatique des positions dans l’automate
- Optimisation des flux logistiques
- Sécurité SHA256 + salt et communication SSL
- Suivi précis des produits dans la base
Importation mensuelle depuis AS/400
Chaque mois, les données de vente issues du système AS/400 de l’entreprise sont importées dans l’application OMA. Elles sont automatiquement nettoyées, consolidées et analysées pour produire des indicateurs essentiels à la gestion logistique.
Le logiciel calcule automatiquement, grâce à des algorithmes précis, la fréquence de picking, la densité de vente, la rotation produit et les volumes moyens par commande. Ces informations permettent d’anticiper les besoins, d’ajuster les positions dans l’automate et d’améliorer la performance globale. Il contribue également à la réduction des erreurs, à la détection des ruptures de stock et à l’optimisation des flux logistiques. Grâce à cet outil, CERP d’Annecy bénéficie d’une gestion proactive et efficace de son automate pharmaceutique, permettant ainsi d’améliorer la satisfaction client et la rentabilité de l’activité tout en augmentant son taux d'automatisation.

Ces données permettent une prise de décision rapide et fiable pour l’optimisation logistique.
*Les données affichées sont générées de manière aléatoire et ne correspondent en aucun cas aux valeurs réelles traitées en entreprise.
Corrélation intelligente des données
À gauche, une base de données locale pour les produits. À droite, une base de données pour recenser les erreurs automates.
L’application OMA corrèle ces deux sources pour identifier les vraies actions à mener. En croisant les données produits et les erreurs automates, elle permet de qualifier et de solutionner efficacement les situations logistiques.
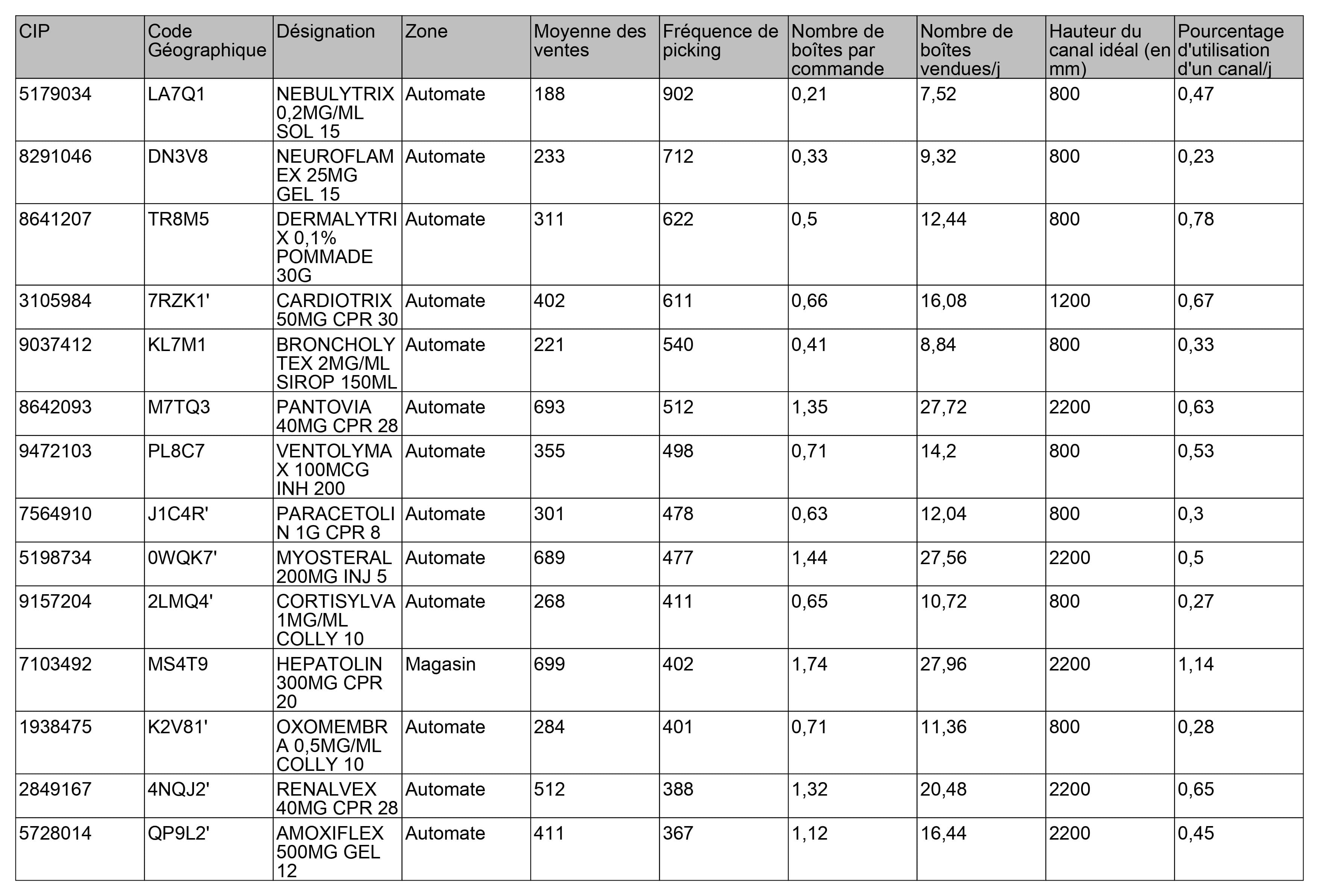
Optimisation intelligente de l’automate
Grâce aux données traitées, OMA calcule automatiquement la meilleure position pour chaque produit dans l’automate logistique. Les critères incluent :
- Densité de vente (nombre de boîtes vendues/jour)
- Fréquence de picking
- Hauteur idéale du canal (petit, moyen, grand)
- Pourcentage d’utilisation du canal
Si un produit dépasse les seuils de densité ou de volume, il est automatiquement redirigé vers le magasin pour garantir la fluidité de l’automate. Ce système permet une performance maximale et une réduction des erreurs de picking.

Les rapports générés sont archivés pour assurer un suivi historique et une traçabilité complète.
*Les données affichées sont générées de manière aléatoire et ne correspondent en aucun cas aux valeurs réelles traitées en entreprise.
**Le logo CERP est utilisé uniquement à titre illustratif pour présenter un projet réalisé pour la CERP d’Annecy. CERP est une marque appartenant à ses propriétaires respectifs.
